“北静”新动态!郑州大运河文化片区修改控规出炉!
扫描到手机,新闻随时看
扫一扫,用手机看文章
更加方便分享给朋友
近期(4月22日),郑州市大运河文化片区部分街坊控制性详细规划修改论证报告变更批前公示出炉,大运河文化片区修改规划落地,必将为郑州“北静”再添新动能!

截图自官网

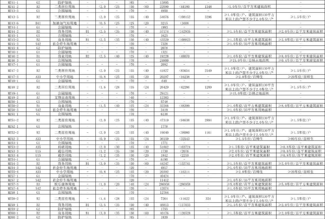
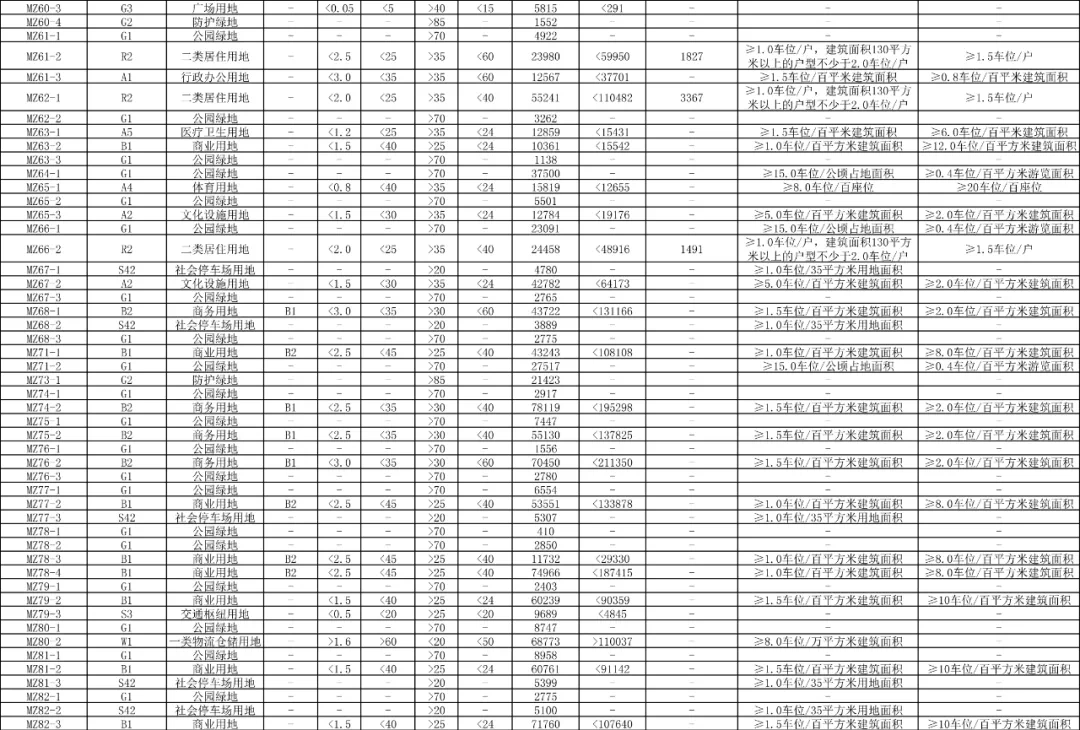
控规修改详情郑州市大运河文化片区部分街坊控制性详细规划修改论证报告变更批前公示

拟修改用地位置
本次修改范围位于郑州市北部惠济区,江山路以东、大河路以北区域,具体用地位置在江山路、绿城路、东风渠、绿环路的围合区域。

用地规划图(修改前)

修改范围图
详细修改内容:
1.用地布局及用地性质修改
本次修改范围面积大、地块多,大运河文化片区核心板块城市设计对该区域空间结构进行修改,道路红线及用地布局均发生较大变化,已批控规与城市设计的道路红线及地块边界均不重叠。因此拟修改内容从道路交通系统、主要用地布局、控制指标及公服配套设施三方面论述修改,不再表达各地块用地性质修改前后具体用地性质。修改范围内各地块用地性质在下一步依据城市设计、结合国土空间规划在控规编制中合理确定。主要用地布局修改内容如下:
(1)增加汴河遗址公园控制,将范围内二类居住用地、商业用地等拟修改为公园绿地及文化设施用地。
(2)将围绕轨道3号线、汴河公园两侧及大运河两侧将各类用地拟修改为商业用地、商务用地。
(3)其他区域原商业用地、商务用地、娱乐康体用地拟修改为二类居住用地。
2.道路交通系统修改
(1)拟修改主干路2条,即丰硕街、绿荫路;次干路3条,即绿城路、绿洲路、绿环路;支路14条。
(2)城市主干路丰硕街拟向东进行调整(红线宽度不变),绿荫路拟由主干路修改为次干路,城市次干路绿城路拟修改为主干路,绿洲路、绿环路线位局部修改,其他城市支路线位拟进行修改。
3.控制指标及公服配套设施修改
在下一步控制性详细规划编制中,依据城市设计成果修改并合理制定和细化各个地块的规划控制指标,并在控规编制中合理配建公服配套设施。
具体用地修改范围:







郑州北静将再添新动能!
目前,距离去年3月32核心板块的披露已经一年多,到2035年,郑州将围绕 “东强、南动、西美、北静、中优、外联”的城市发展格局,以32核心板块总体布局为目标,建设总用地面积68平方公里的城市经济中心,促进新老城区融合发展、转型升级。
其中,围绕北静,郑州将加快4个核心板块建设。惠济区围绕荥泽古城板块、大运河文化片区板块,金水区围绕郑州国际金贸港板块、金科智汇城片区板块。

▲根据此前资料整理,仅供参考,以较新发布内容为准
消息显示,大运河文化片区范围为:东至文化路,西至江山路,南至索须河南岸(西起铁炉寨村界,东接常庄村界),北至S312道路,区域面积约23平方公里(34500 亩)。
参考此次的用地修改规划、此前曝光的运河文化片区的总规划图,整个规划布局,既符合郑州“北静”的定位,也非常符合运河文化概念的定位。此外,大运河文化片区作为郑州四大文化片区之一,将建设以运河生态旅游与历史名镇相结合的文化片区,未来将与商都、二砂、德化共同打造郑州四大文化名片。

▲郑州大运河文化区总平规划示意图(图源:珂尔)
日前,作为郑州大运河文化核心板块以及黄河战略大范畴内的核心项目——荥泽古城文旅融合项目招标结果公示:工程建设面积约4.9万平方米,工期为240日历天,其中设计周期为40日历天,施工工期为200日历天。而随着该项目中标的结束,这个谋划多年的文旅项目终于迎来了新的进展,进入实质性的实施阶段。项目建成后,对提升汉文化历史遗产保护、环境提升、城市建设的需要均有积极作用。
此外,随着黄河流域生态保护和高质量发展上升为国家重大战略,郑州大手笔布局沿黄生态廊道;此外4月6日,总占地面积的135亩、总建筑面积10万平方米、投资约19.3亿元的黄河国家博物馆设计方案在郑北落定……
相信未来随着片区的不断开发,依靠大型博物馆、遗址公园、沿黄生态等多重要素,人口和产业将会在此集聚,给郑州北部带来更多人流、客流,并吸引更多实力房企的入驻、开发。同时,承载着北部人民希望的大运河片区,将迎来开发进程的加速。随着控规的不断落地,或将成为郑州“北静”发展的下一个新的增长极。

▲黄河国家博物馆效果图(图源:郑州日报)
此外,近期郑州32个产业核心板块中的多个控制性详细规划修改论证报告不断亮相,如二七区健康产业核心板块规划出炉、郑州西部中央文化区北区核心板块、中原新区须水河核心板块、以及此次的大运河文化片区等,随着工作的推进,今后剩余的核心板块还会逐步修改公示,让我们拭目以待!
来源:宝地快讯
声明:本文由入驻焦点开放平台的作者撰写,除焦点官方账号外,观点仅代表作者本人,不代表焦点立场。


